
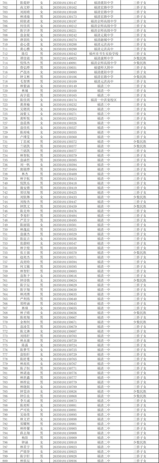
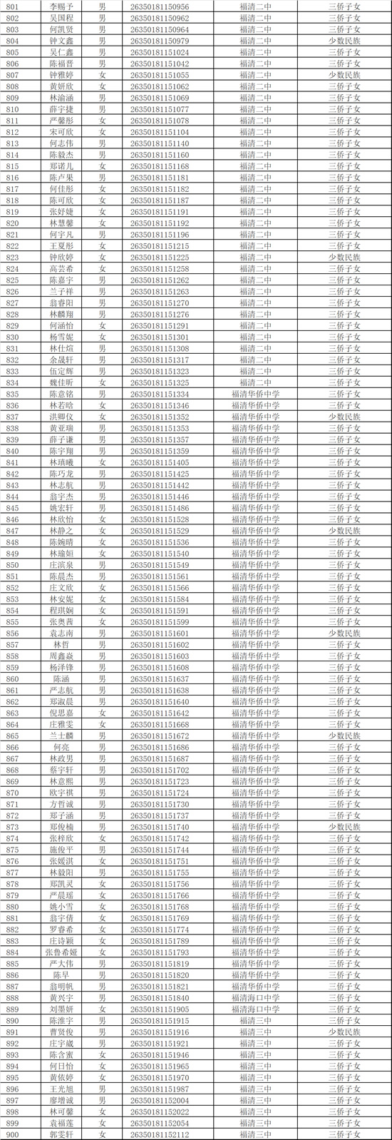
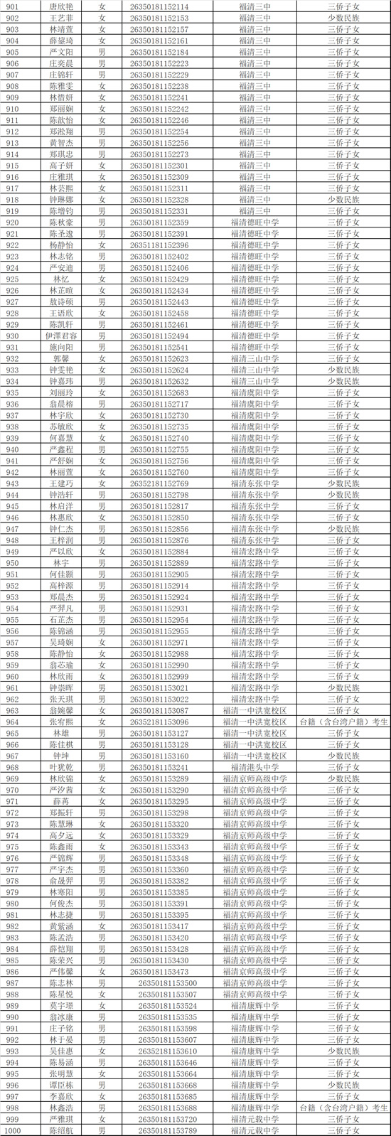
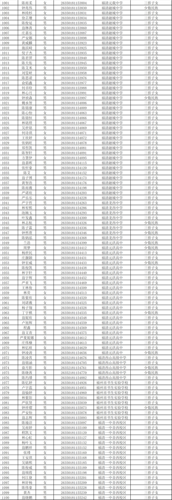
海西房产网(微信公众号:fjhxfcw)消息:4月13日,福州市教育考试发展中心发布“关于福州市2026年福建省普通高考录取照顾资格考生名单的公示”。
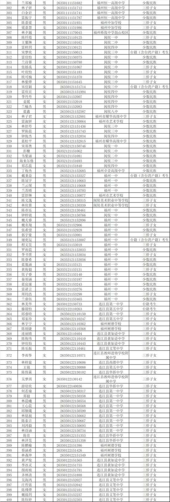
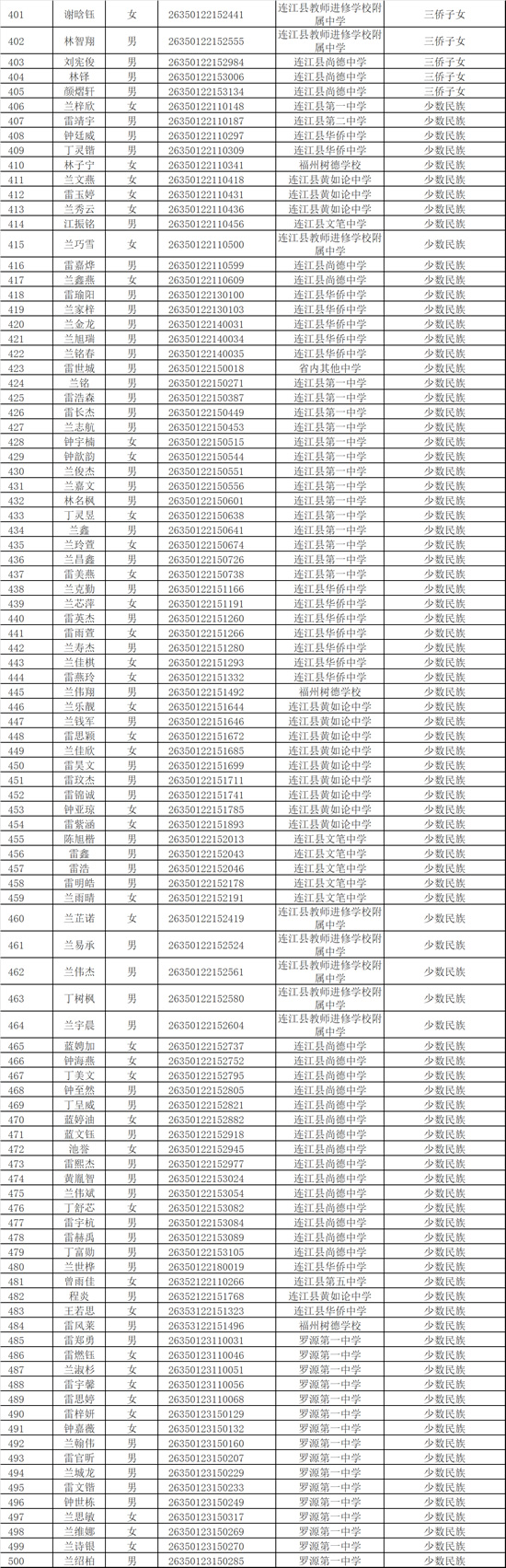
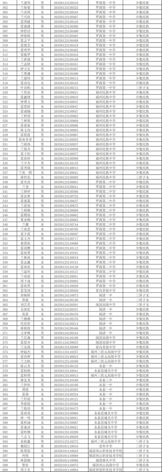
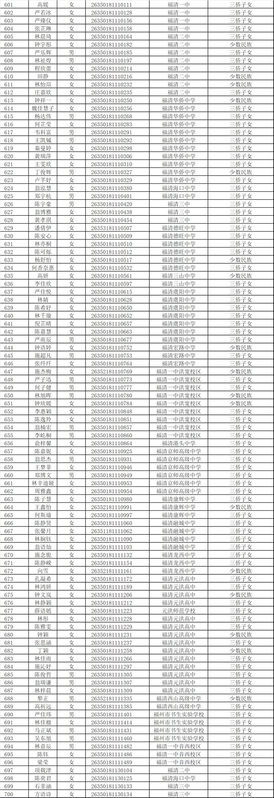
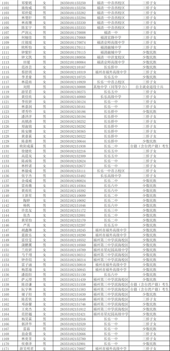
根据《福建省高等学校招生委员会办公室关于做好2026年高考录取照顾资格申报及审核工作的通知》(闽招委办〔2026〕1号)规定,经考生申报、就读学校、县(市)区教育招生考试机构审核公示,以及有关部门审核通过,福州市共有1171名考生具有2026年福建省普通高考录取照顾资格,现将名单予以公示。
公示时间:2026年4月13日至4月24日












返回海西房产网首页>>